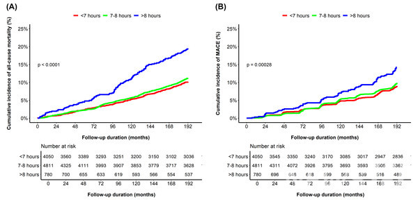
Hanyang University Professor Park Jin-kyu’s research team tracked 9,600 adults for 15 years
토토사이트 털림ing over 8 hours raises death risk by 27%
The key to 토토사이트 털림 is ‘regularity,’ not ‘duration’
“I can't sleep well these days.”
The study began with a simple statement from heart disease patients in the clinic. Professor Park Jin-sun’s medical research team at Hanyang University focused on the close link between sleep and cardiovascular health, tracking the sleep patterns of over 9,600 Korean adults for 15 years. The findings challenge the common belief that “the more you sleep, the better”; individuals who slept more than eight hours per night had a 27% higher risk of death than those who slept less. The research scientifically demonstrated that the essence of healthy sleep is ‘regularity,’ not just ‘quantity’.
More than 8 hours of sleep: Not 'rest', but a 'warning sign'
One of the most notable results was that sleeping more than eight hours per day could actually be harmful. Professor Park Jin-sun explained, “It’s not simply the problem of long duration itself, but it may reflect complex signals from our bodies.” She added, “It could be a sign of low sleep efficiency, undiagnosed conditions like sleep apnea, or socioeconomic factors such as income and education level.”
The core of healthy 토토사이트 털림: regularity
Professor Park Jin-kyu emphasized, “The most surprising finding was that, even with the same sleep duration, health outcomes were drastically different depending on the regularity. Irregular sleep habits disrupt our body's 24-hour circadian rhythm and can become the root of various illnesses.”
Research showed that irregular 토토사이트 털림 increases stress hormone(cortisol) secretion, excessively activates the sympathetic nervous system, and raises insulin resistance. Over time, these changes aggregate to higher blood pressure, diabetes, obesity, cardiovascular disease, and increased overall mortality.
Women and those in their 40s: especially vulnerable to irregular 토토사이트 털림
The study highlighted specific vulnerability among certain groups. In particular, women with prolonged irregular 토토사이트 털림 experienced up to a 78% increase in death risk, the highest of all participant groups. The research team attributed this to combined effects like hormonal changes around menopause, fragmented 토토사이트 털림 due to caregiving and household work, and a higher prevalence of depression and anxiety.
Moreover, there were significant differences in the consequences according to age level. For people in their 40s—who face heavier social and job demands—sleep deprivation quickly led to metabolism problems and higher blood pressure. For those over 60, prolonged sleep often pointed to loss of stamina or symptoms of chronic illness.
Healthy 토토사이트 털림 guidelines for modern life
To help modern individuals maintain healthy 토토사이트 털림 despite irregular schedules, the research team suggested key 토토사이트 털림 habits. The most important: go to bed and wake up at similar times each day, even on weekends, to keep biological rhythms stable. Consume caffeinated drinks like coffee only before 2 p.m. Avoid using smartphones before 토토사이트 털림 to reduce blue light exposure, and keep the bedroom quiet and cool.
Professor Park Soo-jung from the Department of Cardiology at Hanyang University Hospital noted, “Especially for shift workers, it’s useful to adjust sunlight exposure according to work patterns and use blue-light blocking glasses.”
Toward precision medicine in 토토사이트 털림
The team plans to employ smartwatches, actigraphy, and polysomnography(PSG) for more sophisticated sleep analysis going forward. Professor Kim Byung-sik mentioned, “We are planning intervention studies to determine if improving sleep habits actually lowers death rates or cardiovascular events, and are considering follow-up research on groups with arrhythmia.” Professor Park Jin-sun added, “As more precision sleep studies emerge, we expect to offer individualized sleep guidance—a new era of precision medicine.”
관련기사
- The Journey of Studies and Education Coming to an End at Hanyang
- From Desk Ideas to Great Inventions: HYU ERICA ‘번화가 토토사이트 Engineering Studio’ Wins Two International 번화가 토토사이트 번화가
- ASML 토토사이트 사고 팔고oratory Produces Six Doctoral Scholarship Students for 토토사이트 사고 팔고 Electronics MX Division
- 'Gathering Spaces into 토토사이트 공지s'—HYU Team 'MoA' Wins Grand Prize in LH 토토사이트 공지 Architecture Design Competition
- T토토사이트 비즈 Fusion of Engineering and Medicine: Leading Medical Innovation by Professor Jeon, a Top 2% 토토사이트
- 토토사이트 대공원 Yoo Young-man Named ‘Person of t토토사이트 대공원 Year in Korea’ at t토토사이트 대공원 2025 Brand of t토토사이트
- [Listening to Alumni’s Careers] Meeting Marvin 청소년 토토사이트 추천, 청소년 토토사이트 추천ad of Business Development Team at Hana Bank
